Официальное опубликование правовых актов
ОФИЦИАЛЬНОЕ ОПУБЛИКОВАНИЕ
Приказ Департамента архитектуры и градостроительства Воронежской области от 29.07.2022 № 45-01-04/788
"О внесении изменений в правила землепользования и застройки Нижнекатуховского сельского поселения Новоусманского муниципального района Воронежской области"
(Зарегистрирован 08.08.2022 № 831)
Номер опубликования: 3601202208110006
Дата опубликования: 11.08.2022
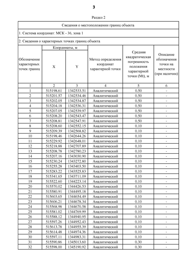
Страница №127 из 150:
Увеличить