Официальное опубликование правовых актов
ОФИЦИАЛЬНОЕ ОПУБЛИКОВАНИЕ
Приказ Департамента архитектуры и градостроительства Воронежской области от 01.08.2022 № 45-01-04/800
"О внесении изменений в правила землепользования и застройки Борщево-Песковского сельского поселения Эртильского муниципального района Воронежской области"
(Зарегистрирован 08.08.2022 № 829)
Номер опубликования: 3601202208110004
Дата опубликования: 11.08.2022
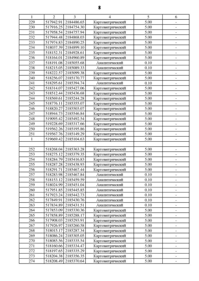
Страница №45 из 121:
Увеличить