Официальное опубликование правовых актов
ОФИЦИАЛЬНОЕ ОПУБЛИКОВАНИЕ
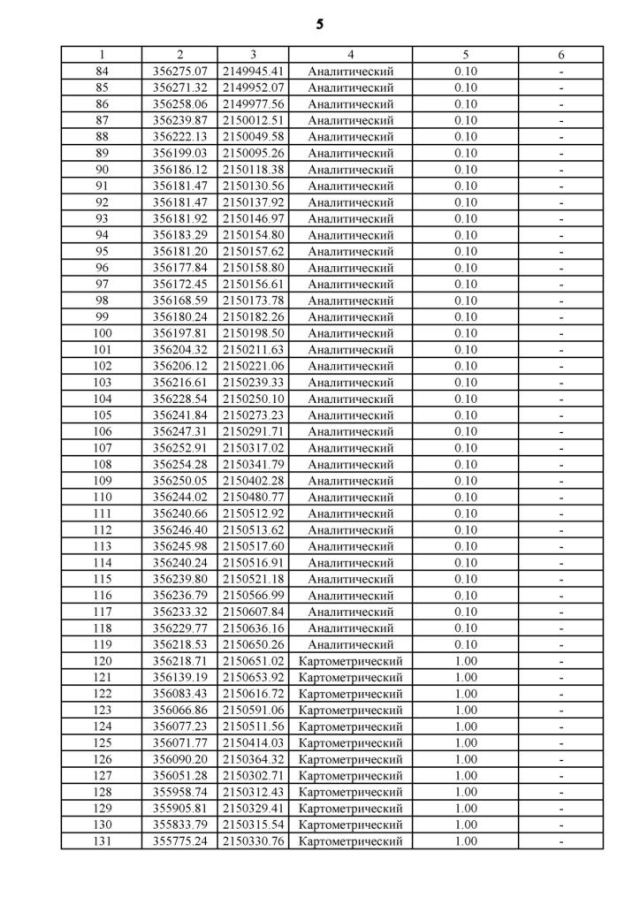
Приказ Департамента архитектуры и градостроительства Воронежской области от 01.08.2022 № 45-01-04/799
"О внесении изменений в правила землепользования и застройки Казинского сельского поселения Павловского муниципального района Воронежской области"
(Зарегистрирован 08.08.2022 № 837)
Номер опубликования: 3601202208110003
Дата опубликования: 11.08.2022
Страница №44 из 188:
Увеличить