Официальное опубликование правовых актов
ОФИЦИАЛЬНОЕ ОПУБЛИКОВАНИЕ
Приказ Департамента архитектуры и градостроительства Воронежской области от 20.07.2022 № 45-01-04/756
"О внесении изменений в правила землепользования и застройки Терновского сельского поселения Острогожского муниципального района Воронежской области"
(Зарегистрирован 01.08.2022 № 809)
Номер опубликования: 3601202208030011
Дата опубликования: 03.08.2022
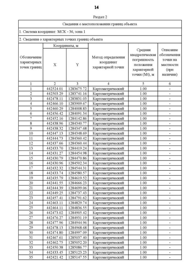
Страница №97 из 123:
Увеличить