Официальное опубликование правовых актов
ОФИЦИАЛЬНОЕ ОПУБЛИКОВАНИЕ
Приказ Департамента архитектуры и градостроительства Воронежской области от 20.07.2022 № 45-01-04/754
"О внесении изменений в правила землепользования и застройки Трудовского сельского поселения Новоусманского муниципального района Воронежской области"
(Зарегистрирован 01.08.2022 № 813)
Номер опубликования: 3601202208030010
Дата опубликования: 03.08.2022
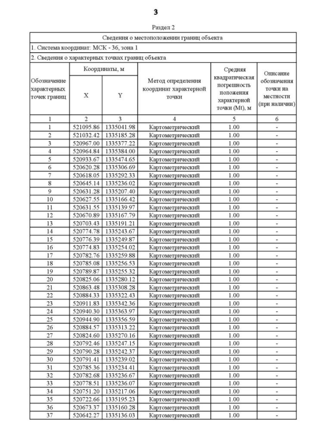
Страница №87 из 113:
Увеличить