Официальное опубликование правовых актов
ОФИЦИАЛЬНОЕ ОПУБЛИКОВАНИЕ
Приказ Департамента архитектуры и градостроительства Воронежской области от 20.07.2022 № 45-01-04/758
"О внесении изменений в правила землепользования и застройки Александро-Донского сельского поселения Павловского муниципального района Воронежской области"
(Зарегистрирован 01.08.2022 № 810)
Номер опубликования: 3601202208030008
Дата опубликования: 03.08.2022
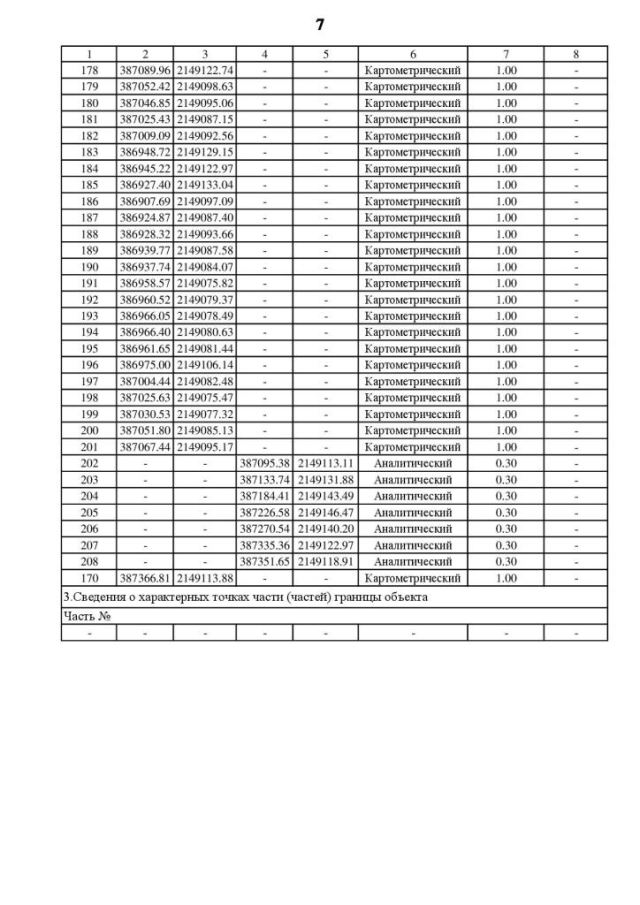
Страница №22 из 125:
Увеличить