Официальное опубликование правовых актов
ОФИЦИАЛЬНОЕ ОПУБЛИКОВАНИЕ
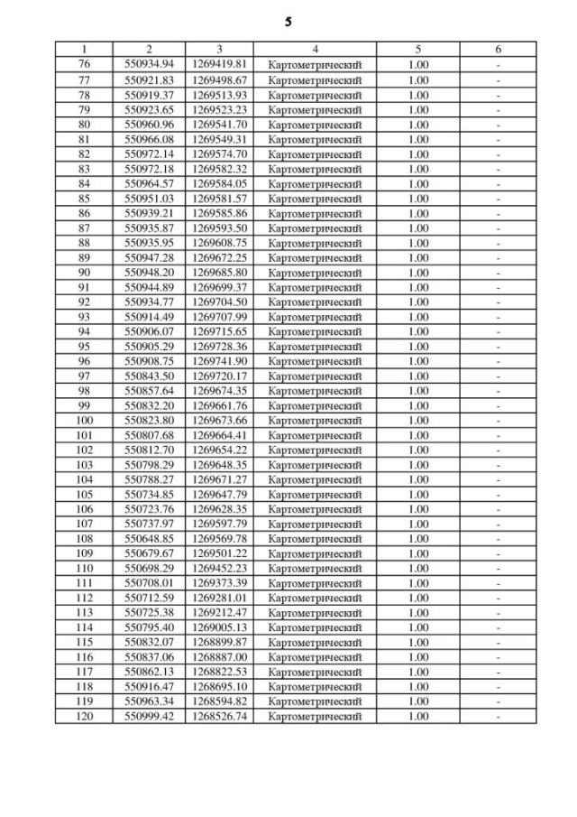
Приказ Департамента архитектуры и градостроительства Воронежской области от 20.07.2022 № 45-01-04/757
"О внесении изменений в правила землепользования и застройки Павловского сельского поселения Рамонского муниципального района Воронежской области"
(Зарегистрирован 01.08.2022 № 812)
Номер опубликования: 3601202208030007
Дата опубликования: 03.08.2022
Страница №77 из 171:
Увеличить