Официальное опубликование правовых актов
ОФИЦИАЛЬНОЕ ОПУБЛИКОВАНИЕ
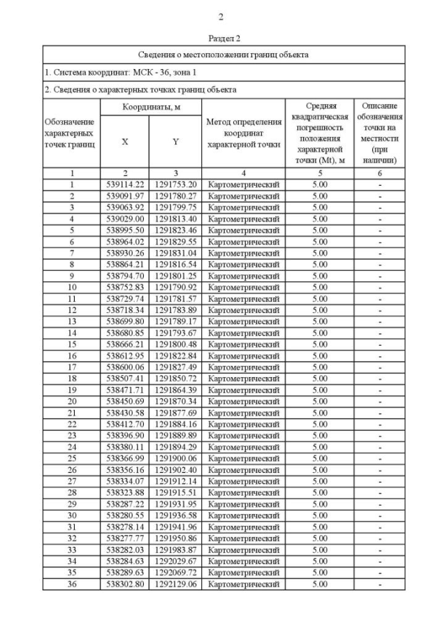
Приказ Департамента архитектуры и градостроительства Воронежской области от 22.07.2022 № 45-01-04/776
"О внесении изменений в правила землепользования и застройки Новоживотинновского сельского поселения Рамонского муниципального района Воронежской области"
(Зарегистрирован 01.08.2022 № 808)
Номер опубликования: 3601202208030003
Дата опубликования: 03.08.2022
Страница №84 из 117:
Увеличить