Официальное опубликование правовых актов
ОФИЦИАЛЬНОЕ ОПУБЛИКОВАНИЕ
Приказ Департамента архитектуры и градостроительства Воронежской области от 22.07.2022 № 45-01-04/775
"О внесении изменений в правила землепользования и застройки Норово-Ротаевского сельского поселения Нижнедевицкого муниципального района Воронежской области"
(Зарегистрирован 01.08.2022 № 807)
Номер опубликования: 3601202208030002
Дата опубликования: 03.08.2022
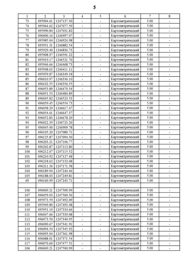
Страница №82 из 99:
Увеличить