Официальное опубликование правовых актов
ОФИЦИАЛЬНОЕ ОПУБЛИКОВАНИЕ
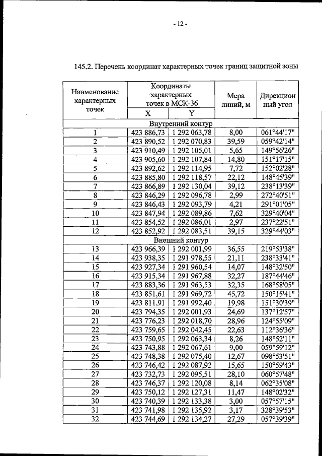
Приказ управления по охране объектов культурного наследия Воронежской области от 08.07.2022 № 71-01-07/287
"О внесении изменений в приказ управления по охране объектов культурного наследия Воронежской области от 04.12.2018 № 71-01-07/266"
(Зарегистрирован 28.07.2022 № 774)
Номер опубликования: 3601202208020005
Дата опубликования: 02.08.2022
Страница №12 из 28:
Увеличить