Официальное опубликование правовых актов
ОФИЦИАЛЬНОЕ ОПУБЛИКОВАНИЕ
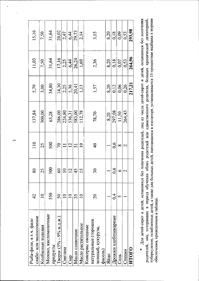
Приказ департамента образования, науки и молодежной политики Воронежской области от 14.07.2022 № 987
"О внесении изменений в приказ департамента образования, науки и молодежной политики Воронежской области от 11.07.2018 № 808"
(Зарегистрирован 28.07.2022 № 791)
Номер опубликования: 3601202208020004
Дата опубликования: 02.08.2022
Страница №5 из 7:
Увеличить