Официальное опубликование правовых актов
ОФИЦИАЛЬНОЕ ОПУБЛИКОВАНИЕ
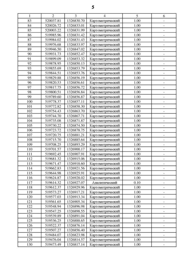
Приказ Департамента архитектуры и градостроительства Воронежской области от 18.07.2022 № 45-01-04/745
"О внесении изменений в правила землепользования и застройки Орловского сельского поселения Новоусманского муниципального района Воронежской области"
(Зарегистрирован 26.07.2022 № 768)
Номер опубликования: 3601202207280003
Дата опубликования: 28.07.2022
Страница №150 из 250:
Увеличить