Официальное опубликование правовых актов
ОФИЦИАЛЬНОЕ ОПУБЛИКОВАНИЕ
Приказ Департамента архитектуры и градостроительства Воронежской области от 18.07.2022 № 45-01-04/744
"О внесении изменений в правила землепользования и застройки Новопостояловского сельского поселения Россошанского муниципального района Воронежской области"
(Зарегистрирован 26.07.2022 № 769)
Номер опубликования: 3601202207280002
Дата опубликования: 28.07.2022
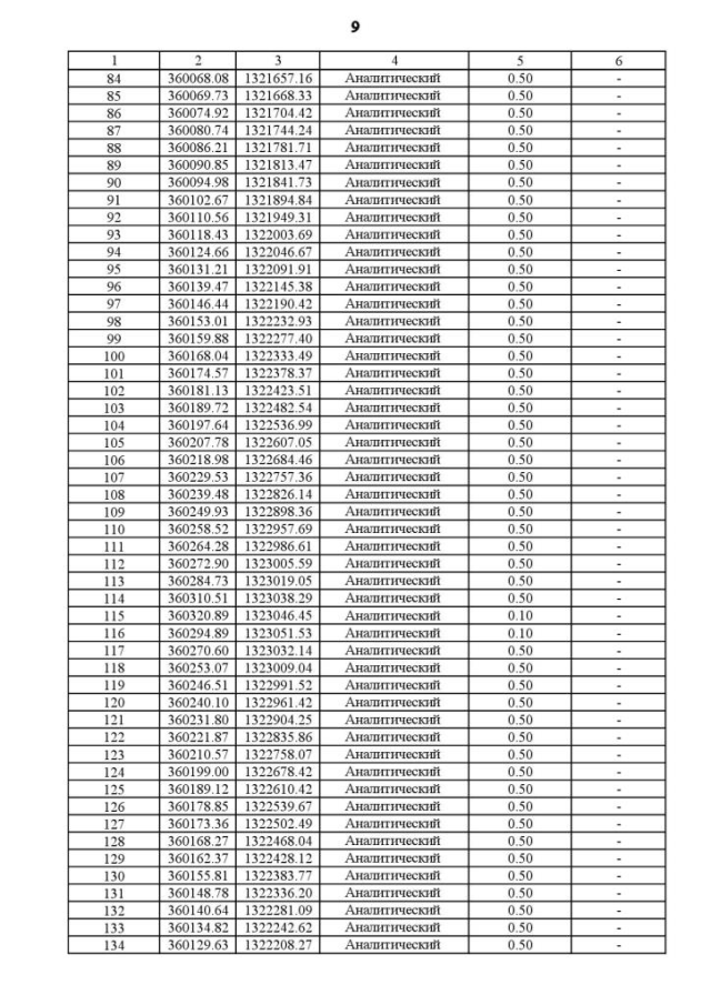
Страница №275 из 307:
Увеличить