Официальное опубликование правовых актов
ОФИЦИАЛЬНОЕ ОПУБЛИКОВАНИЕ
Приказ Департамента архитектуры и градостроительства Воронежской области от 19.07.2022 № 45-01-04/747
"О внесении изменений в правила землепользования и застройки Подгоренского городского поселения Подгоренского муниципального района Воронежской области"
(Зарегистрирован 26.07.2022 № 765)
Номер опубликования: 3601202207270003
Дата опубликования: 27.07.2022
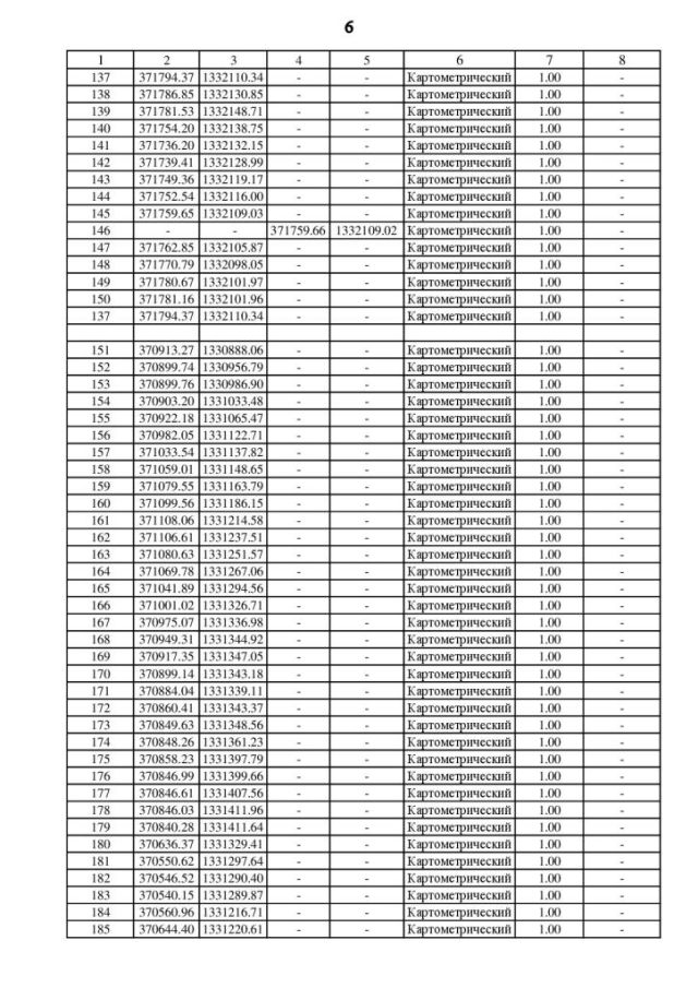
Страница №152 из 206:
Увеличить