Официальное опубликование правовых актов
ОФИЦИАЛЬНОЕ ОПУБЛИКОВАНИЕ
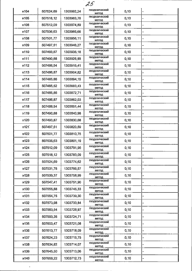
Приказ департамента природных ресурсов и экологии Воронежской области от 28.06.2022 № 269
"Об установлении зон санитарной охраны трех существующих скважин №№ 1, 2, 3 для питьевого и хозяйственно-бытового водоснабжения ООО "Алефъ"
(Зарегистрирован 19.07.2022 № 757)
Номер опубликования: 3601202207220002
Дата опубликования: 22.07.2022
Страница №27 из 31:
Увеличить