Официальное опубликование правовых актов
ОФИЦИАЛЬНОЕ ОПУБЛИКОВАНИЕ
Приказ Департамента архитектуры и градостроительства Воронежской области от 07.07.2022 № 45-01-04/696
"Об утверждении правил землепользования и застройки Коденцовского сельского поселения Каменского муниципального района Воронежской области"
(Зарегистрирован 19.07.2022 № 752)
Номер опубликования: 3601202207200028
Дата опубликования: 20.07.2022
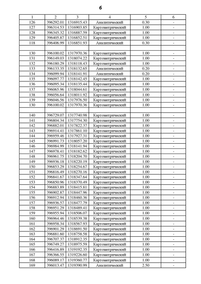
Страница №40 из 84:
Увеличить