Официальное опубликование правовых актов
ОФИЦИАЛЬНОЕ ОПУБЛИКОВАНИЕ
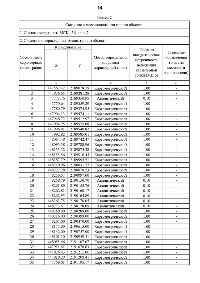
Приказ Департамента архитектуры и градостроительства Воронежской области от 07.07.2022 № 45-01-04/697
"Об утверждении правил землепользования и застройки Вознесенского сельского поселения Таловского муниципального района Воронежской области"
(Зарегистрирован 19.07.2022 № 751)
Номер опубликования: 3601202207200027
Дата опубликования: 20.07.2022
Страница №125 из 169:
Увеличить