Официальное опубликование правовых актов
ОФИЦИАЛЬНОЕ ОПУБЛИКОВАНИЕ
Приказ Департамента архитектуры и градостроительства Воронежской области от 07.07.2022 № 45-01-04/694
"Об утверждении правил землепользования и застройки Малогрибановского сельского поселения Грибановского муниципального района Воронежской области"
(Зарегистрирован 19.07.2022 № 753)
Номер опубликования: 3601202207200026
Дата опубликования: 20.07.2022
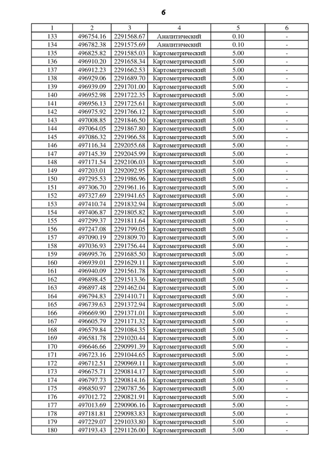
Страница №45 из 143:
Увеличить