Официальное опубликование правовых актов
ОФИЦИАЛЬНОЕ ОПУБЛИКОВАНИЕ
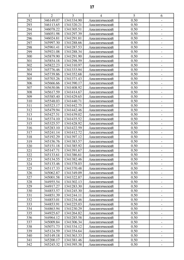
Приказ Департамента архитектуры и градостроительства Воронежской области от 07.07.2022 № 45-01-04/695
"О внесении изменений в правила землепользования и застройки Евстратовского сельского поселения Россошанского муниципального района Воронежской области"
(Зарегистрирован 19.07.2022 № 754)
Номер опубликования: 3601202207200025
Дата опубликования: 20.07.2022
Страница №192 из 236:
Увеличить