Официальное опубликование правовых актов
ОФИЦИАЛЬНОЕ ОПУБЛИКОВАНИЕ
Приказ Департамента архитектуры и градостроительства Воронежской области от 05.07.2022 № 45-01-04/686
"О внесении изменений в правила землепользования и застройки Перлёвского сельского поселения Семилукского муниципального района Воронежской области"
(Зарегистрирован 18.07.2022 № 740)
Номер опубликования: 3601202207200021
Дата опубликования: 20.07.2022
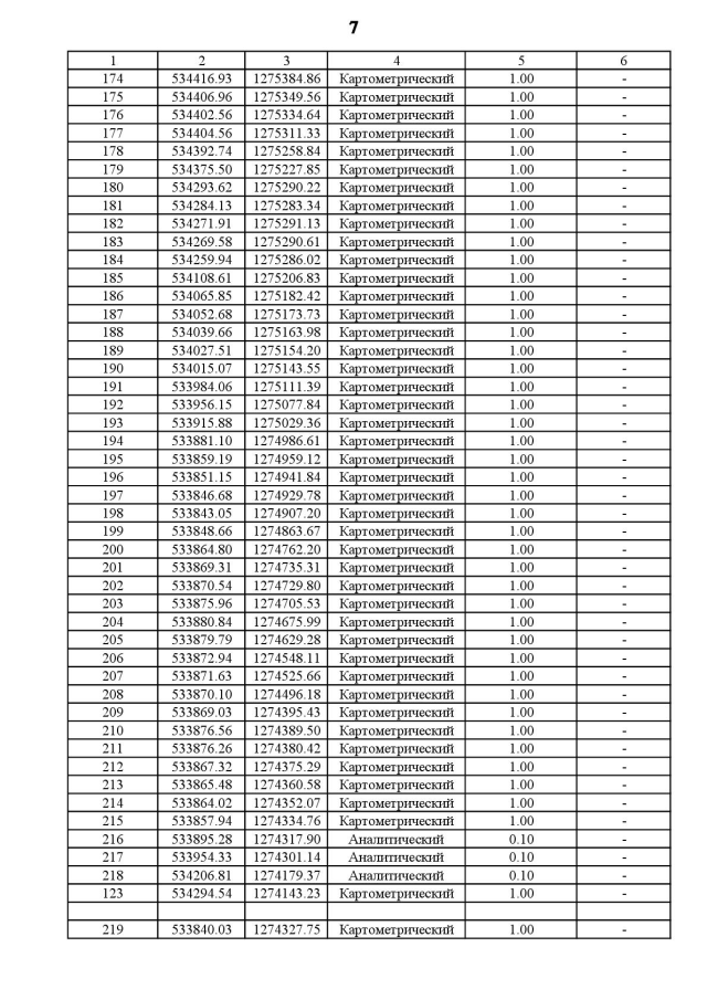
Страница №43 из 130:
Увеличить