Официальное опубликование правовых актов
ОФИЦИАЛЬНОЕ ОПУБЛИКОВАНИЕ
Приказ Департамента архитектуры и градостроительства Воронежской области от 05.07.2022 № 45-01-04/690
"О внесении изменений в правила землепользования и застройки Русскогвоздёвского сельского поселения Рамонского муниципального района Воронежской области"
(Зарегистрирован 18.07.2022 № 736)
Номер опубликования: 3601202207200002
Дата опубликования: 20.07.2022
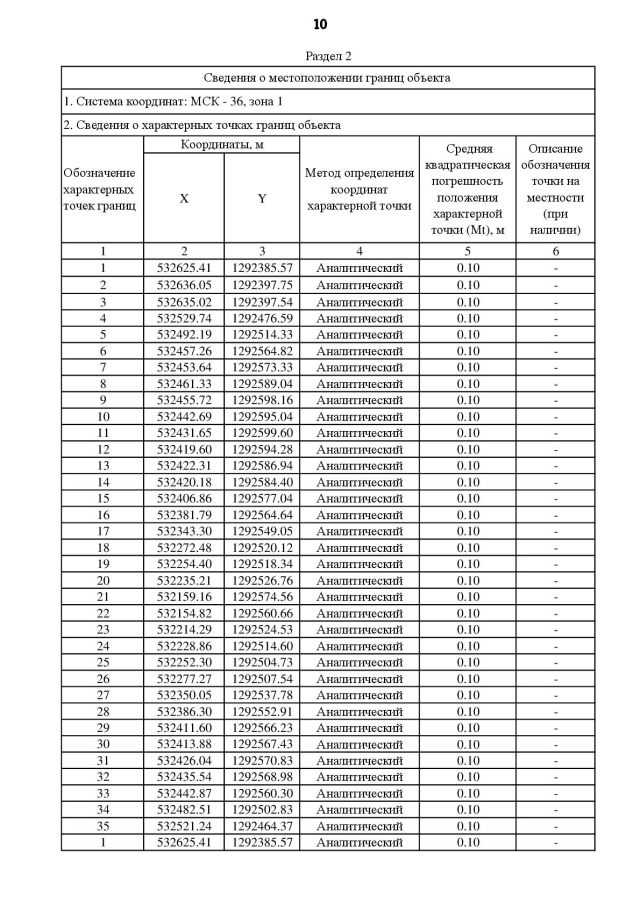
Страница №95 из 151:
Увеличить