Официальное опубликование правовых актов
ОФИЦИАЛЬНОЕ ОПУБЛИКОВАНИЕ
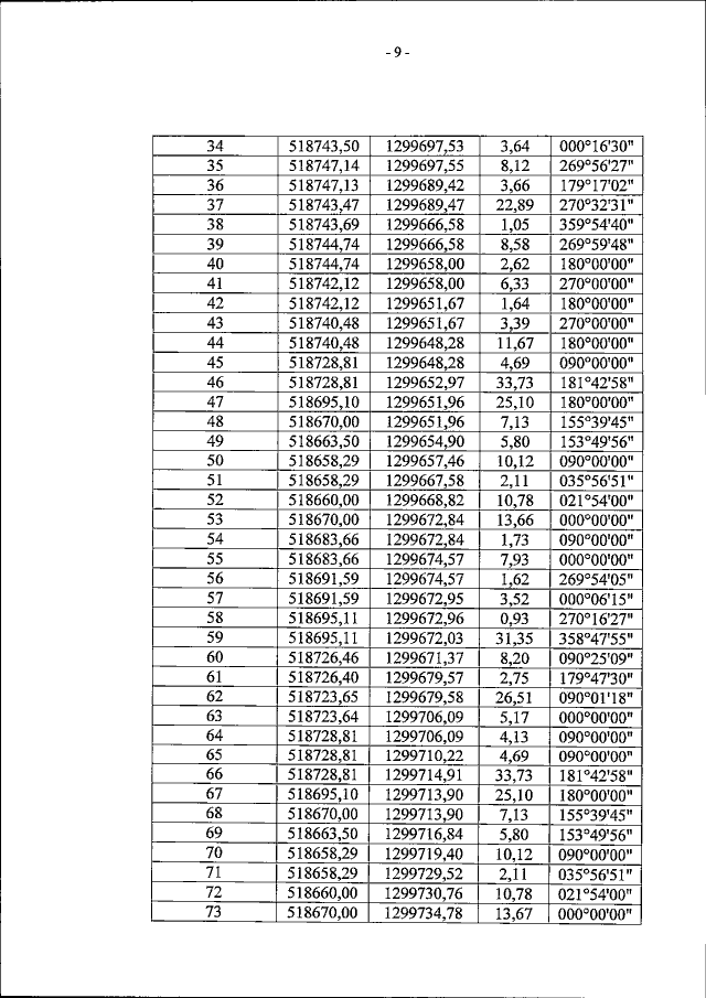
Приказ управления по охране объектов культурного наследия Воронежской области от 27.06.2022 № 71-01-07/271
"О внесении изменений в приказ управления по охране объектов культурного наследия Воронежской области от 26.10.2018 № 71-01-07/228"
(Зарегистрирован 15.07.2022 № 734)
Номер опубликования: 3601202207180011
Дата опубликования: 18.07.2022
Страница №9 из 15:
Увеличить