Официальное опубликование правовых актов
ОФИЦИАЛЬНОЕ ОПУБЛИКОВАНИЕ
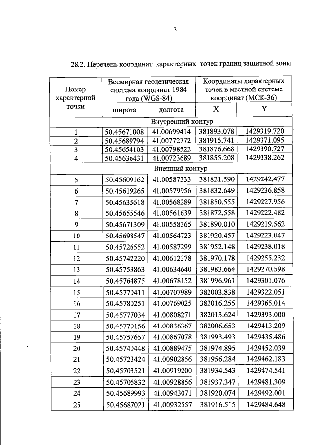
Приказ управления по охране объектов культурного наследия Воронежской области от 01.07.2022 № 71-01-07/283
"О внесении изменения в приказ управления по охране объектов культурного наследия Воронежской области от 28.11.2019 №71-01-07/327"
(Зарегистрирован 15.07.2022 № 725)
Номер опубликования: 3601202207180010
Дата опубликования: 18.07.2022
Страница №3 из 4:
Увеличить