Официальное опубликование правовых актов
ОФИЦИАЛЬНОЕ ОПУБЛИКОВАНИЕ
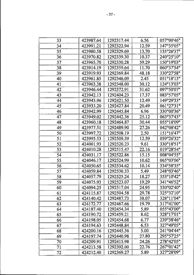
Приказ управления по охране объектов культурного наследия Воронежской области от 27.06.2022 № 71-01-07/276
"О внесении изменений в приказ управления по охране объектов культурного наследия Воронежской области от 04.12.2018 № 71-01-07/266"
(Зарегистрирован 15.07.2022 № 730)
Номер опубликования: 3601202207180005
Дата опубликования: 18.07.2022
Страница №37 из 68:
Увеличить