Официальное опубликование правовых актов
ОФИЦИАЛЬНОЕ ОПУБЛИКОВАНИЕ
Приказ департамента природных ресурсов и экологии Воронежской области от 28.06.2022 № 270
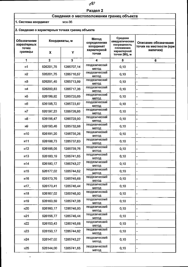
"Об установлении зоны санитарной охраны одной существующей скважины № 10059 для питьевого, хозяйственно-бытового водоснабжения ТСН "СНТ Импульс"
(Зарегистрирован 07.07.2022 № 694)
Номер опубликования: 3601202207140001
Дата опубликования: 14.07.2022
Страница №12 из 25:
Увеличить