Официальное опубликование правовых актов
ОФИЦИАЛЬНОЕ ОПУБЛИКОВАНИЕ
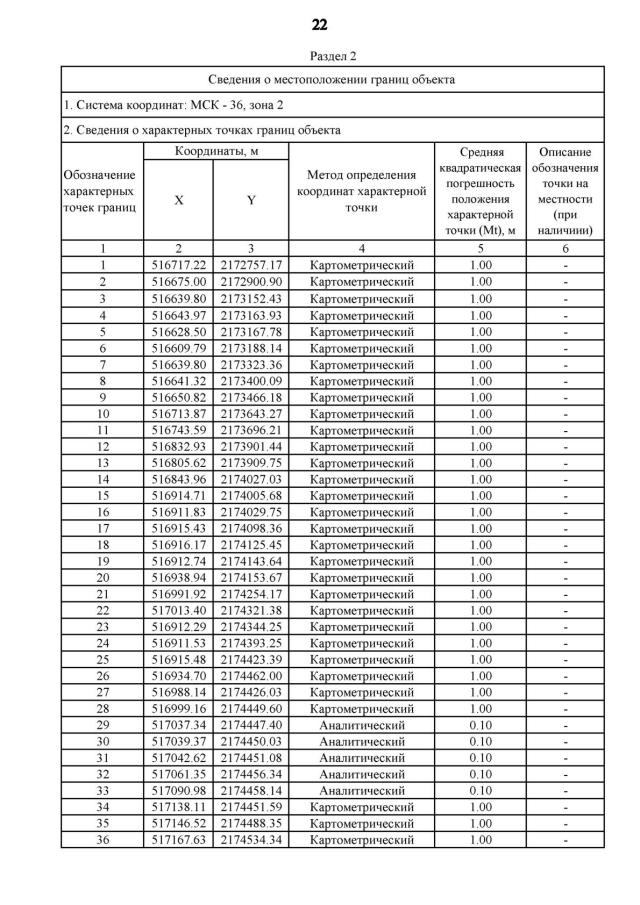
Приказ Департамента архитектуры и градостроительства Воронежской области от 29.06.2022 № 45-01-04/668
"О внесении изменений в правила землепользования и застройки Чернавского сельского поселения Панинского муниципального района Воронежской области"
(Зарегистрирован 11.07.2022 № 714)
Номер опубликования: 3601202207130002
Дата опубликования: 13.07.2022
Страница №58 из 162:
Увеличить