Официальное опубликование правовых актов
ОФИЦИАЛЬНОЕ ОПУБЛИКОВАНИЕ
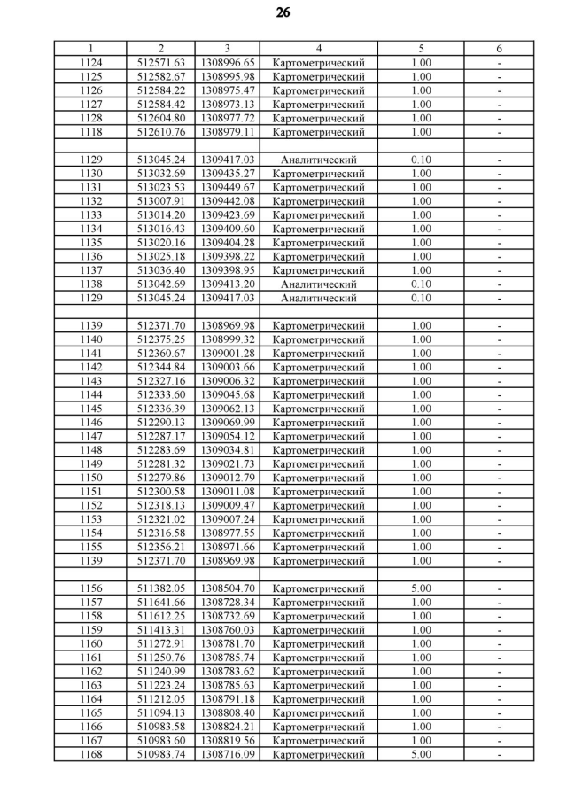
Приказ Департамента архитектуры и градостроительства Воронежской области от 04.07.2022 № 45-01-04/677
"О внесении изменений в правила землепользования и застройки Отрадненского сельского поселения Новоусманского муниципального района Воронежской области"
(Зарегистрирован 08.07.2022 № 702)
Номер опубликования: 3601202207130001
Дата опубликования: 13.07.2022
Страница №94 из 355:
Увеличить