Официальное опубликование правовых актов
ОФИЦИАЛЬНОЕ ОПУБЛИКОВАНИЕ
Приказ Департамента архитектуры и градостроительства Воронежской области от 29.06.2022 № 45-01-04/666
"О внесении изменений в правила землепользования и застройки Елань-Коленовского городского поселения Новохопёрского муниципального района Воронежской области"
(Зарегистрирован 11.07.2022 № 713)
Номер опубликования: 3601202207120009
Дата опубликования: 12.07.2022
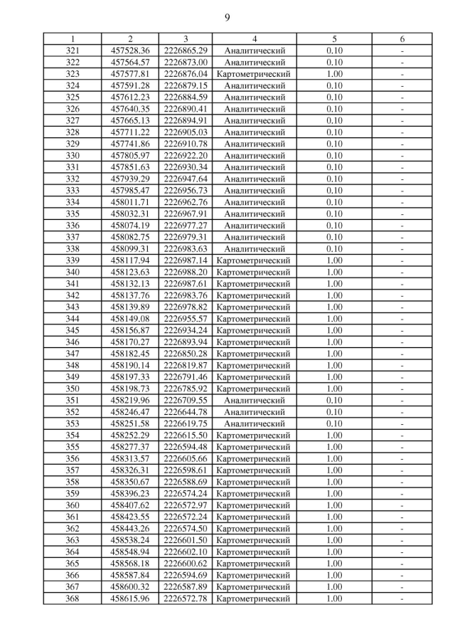
Страница №41 из 65:
Увеличить