Официальное опубликование правовых актов
ОФИЦИАЛЬНОЕ ОПУБЛИКОВАНИЕ
Приказ Департамента архитектуры и градостроительства Воронежской области от 28.06.2022 № 45-01-04/662
"О внесении изменений в правила землепользования и застройки Можайского сельского поселения Каширскогомуниципального района Воронежской области"
(Зарегистрирован 11.07.2022 № 712)
Номер опубликования: 3601202207120005
Дата опубликования: 12.07.2022
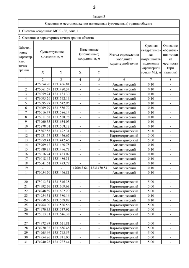
Страница №25 из 54:
Увеличить