Официальное опубликование правовых актов
ОФИЦИАЛЬНОЕ ОПУБЛИКОВАНИЕ
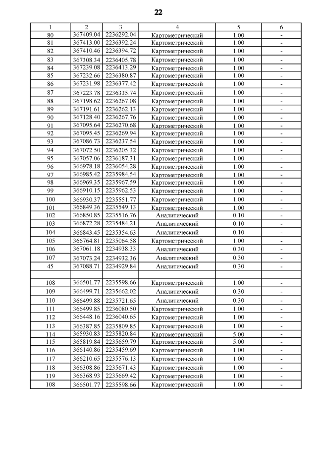
Приказ Департамента архитектуры и градостроительства Воронежской области от 24.06.2022 № 45-01-04/643
"О внесении изменений в правила землепользования и застройки Калачеевского сельского поселения Калачеевского муниципального района Воронежской области"
(Зарегистрирован 07.07.2022 № 699)
Номер опубликования: 3601202207120001
Дата опубликования: 12.07.2022
Страница №113 из 159:
Увеличить