Официальное опубликование правовых актов
ОФИЦИАЛЬНОЕ ОПУБЛИКОВАНИЕ
Приказ Департамента архитектуры и градостроительства Воронежской области от 24.06.2022 № 45-01-04/644
"О внесении изменений в правила землепользования и застройки Парижскокоммунского сельского поселения Верхнехавского муниципального района Воронежской области"
(Зарегистрирован 04.07.2022 № 676)
Номер опубликования: 3601202207080001
Дата опубликования: 08.07.2022
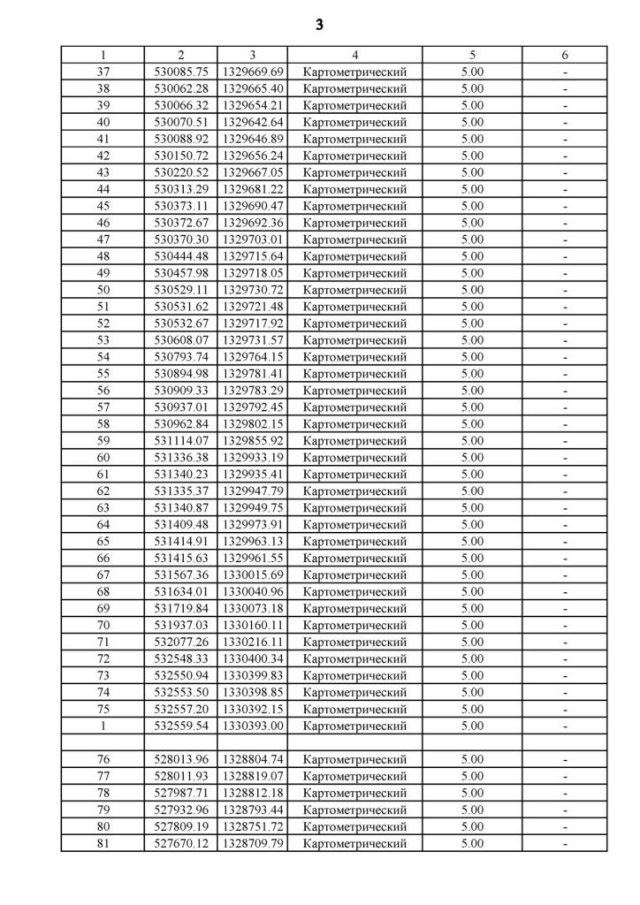
Страница №22 из 32:
Увеличить