Официальное опубликование правовых актов
ОФИЦИАЛЬНОЕ ОПУБЛИКОВАНИЕ
Приказ Департамента архитектуры и градостроительства Воронежской области от 23.06.2022 № 45-01-04/641
"О внесении изменений в правила землепользования и застройки Семидесятского сельского поселения Хохольского муниципального района Воронежской области"
(Зарегистрирован 04.07.2022 № 683)
Номер опубликования: 3601202207070012
Дата опубликования: 07.07.2022
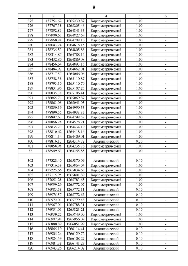
Страница №43 из 123:
Увеличить