Официальное опубликование правовых актов
ОФИЦИАЛЬНОЕ ОПУБЛИКОВАНИЕ
Приказ Департамента архитектуры и градостроительства Воронежской области от 23.06.2022 № 45-01-04/642
"О внесении изменений в правила землепользования и застройки Солонецкого сельского поселения Воробьёвского муниципального района Воронежской области"
(Зарегистрирован 04.07.2022 № 679)
Номер опубликования: 3601202207070004
Дата опубликования: 07.07.2022
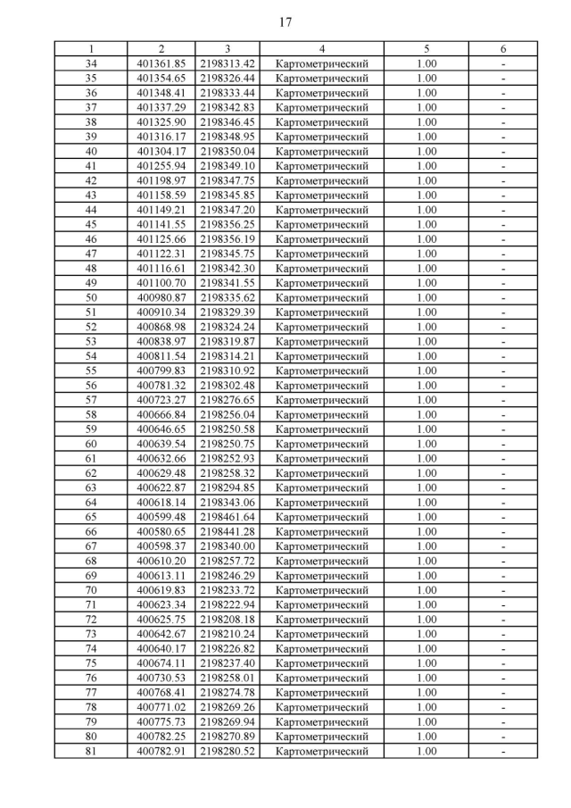
Страница №102 из 350:
Увеличить