Официальное опубликование правовых актов
ОФИЦИАЛЬНОЕ ОПУБЛИКОВАНИЕ
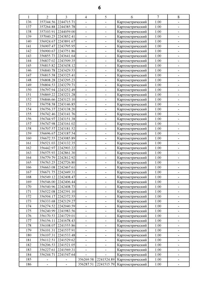
Приказ Департамента архитектуры и градостроительства Воронежской области от 27.06.2022 № 45-01-04/655
"О внесении изменений в правила землепользования и застройки Скрипнянского сельского поселения Калачеевского муниципального района Воронежской области"
(Зарегистрирован 04.07.2022 № 677)
Номер опубликования: 3601202207070003
Дата опубликования: 07.07.2022
Страница №11 из 41:
Увеличить