Официальное опубликование правовых актов
ОФИЦИАЛЬНОЕ ОПУБЛИКОВАНИЕ
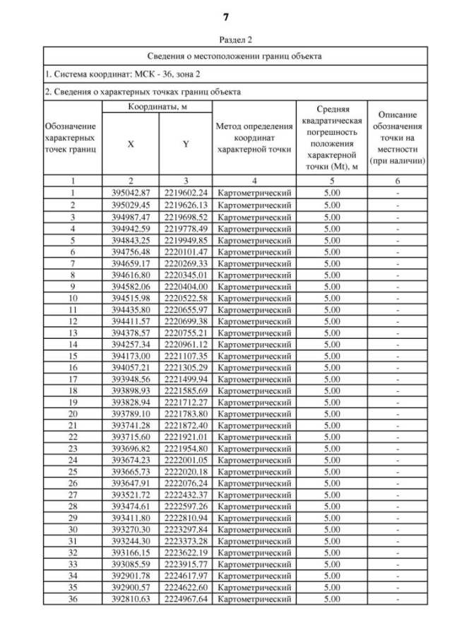
Приказ Департамента архитектуры и градостроительства Воронежской области от 22.06.2022 № 45-01-04/628
"О внесении изменений в правила землепользования и застройки Никольского 1-го сельского поселения Воробьёвского муниципального района Воронежской области"
(Зарегистрирован 04.07.2022 № 684)
Номер опубликования: 3601202207060005
Дата опубликования: 06.07.2022
Страница №290 из 344:
Увеличить