Официальное опубликование правовых актов
ОФИЦИАЛЬНОЕ ОПУБЛИКОВАНИЕ
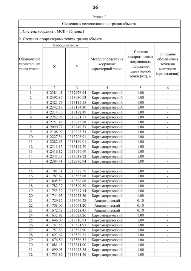
Приказ Департамента архитектуры и градостроительства Воронежской области от 15.06.2022 № 45-01-04/601
"Об утверждении правил землепользования и застройки Евдаковского сельского поселения Каменского муниципального района Воронежской области"
(Зарегистрирован 24.06.2022 № 658)
Номер опубликования: 3601202206300009
Дата опубликования: 30.06.2022
Страница №73 из 218:
Увеличить