Официальное опубликование правовых актов
ОФИЦИАЛЬНОЕ ОПУБЛИКОВАНИЕ
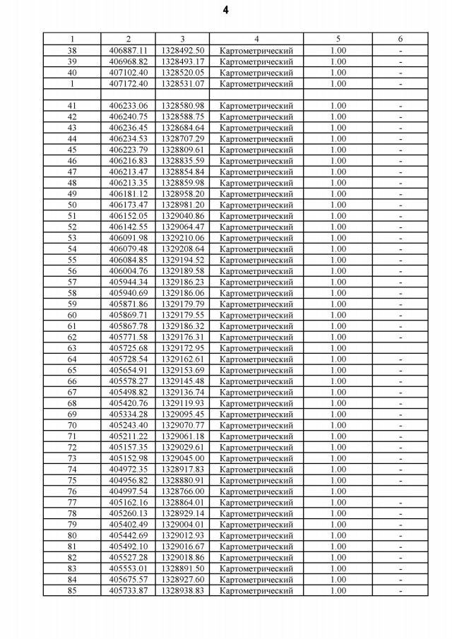
Приказ Департамента архитектуры и градостроительства Воронежской области от 15.06.2022 № 45-01-04/605
"Об утверждении правил землепользования и застройки Сончинского сельского поселения Каменского муниципального района Воронежской области"
(Зарегистрирован 24.06.2022 № 663)
Номер опубликования: 3601202206300006
Дата опубликования: 30.06.2022
Страница №109 из 171:
Увеличить