Официальное опубликование правовых актов
ОФИЦИАЛЬНОЕ ОПУБЛИКОВАНИЕ
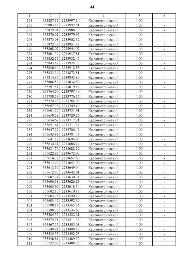
Приказ Департамента архитектуры и градостроительства Воронежской области от 15.06.2022 № 45-01-04/604
"Об утверждении правил землепользования и застройки Новокриушанского сельского поселения Калачеевского муниципального района Воронежской области"
(Зарегистрирован 24.06.2022 № 654)
Номер опубликования: 3601202206300003
Дата опубликования: 30.06.2022
Страница №75 из 126:
Увеличить