Официальное опубликование правовых актов
ОФИЦИАЛЬНОЕ ОПУБЛИКОВАНИЕ
Приказ Департамента архитектуры и градостроительства Воронежской области от 22.06.2022 № 45-01-04/639
"О внесении изменений в правила землепользования и застройки Большеверейского сельского поселения Рамонского муниципального района Воронежской области"
(Зарегистрирован 24.06.2022 № 655)
Номер опубликования: 3601202206290007
Дата опубликования: 29.06.2022
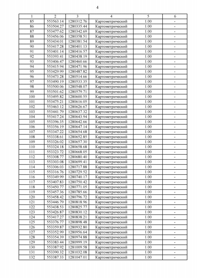
Страница №14 из 70:
Увеличить