Официальное опубликование правовых актов
ОФИЦИАЛЬНОЕ ОПУБЛИКОВАНИЕ
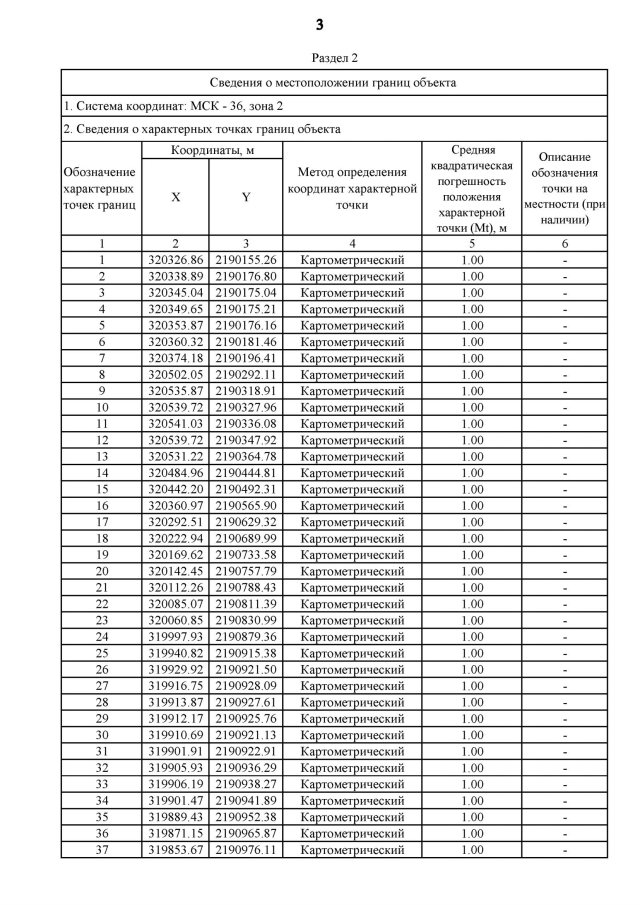
Приказ Департамента архитектуры и градостроительства Воронежской области от 15.06.2022 № 45-01-04/599
"О внесении изменений в правила землепользования и застройки Дьяченковского сельского поселения Богучарского муниципального района Воронежской области"
(Зарегистрирован 24.06.2022 № 659)
Номер опубликования: 3601202206290004
Дата опубликования: 29.06.2022
Страница №202 из 257:
Увеличить