Официальное опубликование правовых актов
ОФИЦИАЛЬНОЕ ОПУБЛИКОВАНИЕ
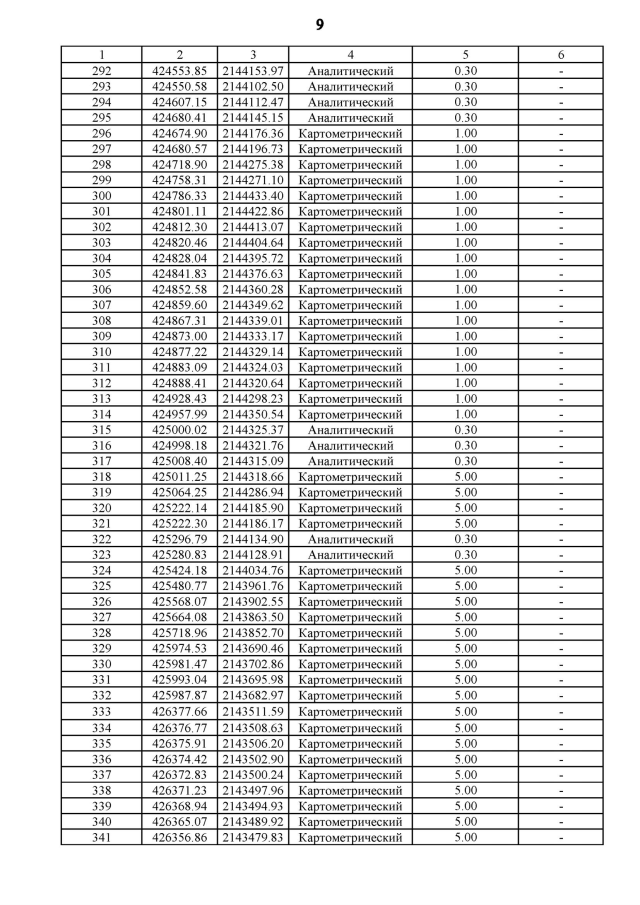
Приказ Департамента архитектуры и градостроительства Воронежской области от 09.06.2022 № 45-01-04/574
"Об утверждении правил землепользования и застройки Липовского сельского поселения Бобровского муниципального района Воронежской области"
(Зарегистрирован 17.06.2022 № 619)
Номер опубликования: 3601202206210009
Дата опубликования: 21.06.2022
Страница №85 из 95:
Увеличить