Официальное опубликование правовых актов
ОФИЦИАЛЬНОЕ ОПУБЛИКОВАНИЕ
Приказ Департамента архитектуры и градостроительства Воронежской области от 09.06.2022 № 45-01-04/572
"О внесении изменений в правила землепользования и застройки Сторожевского 1-го сельского поселения Острогожского муниципального района Воронежской области"
(Зарегистрирован 17.06.2022 № 620)
Номер опубликования: 3601202206210008
Дата опубликования: 21.06.2022
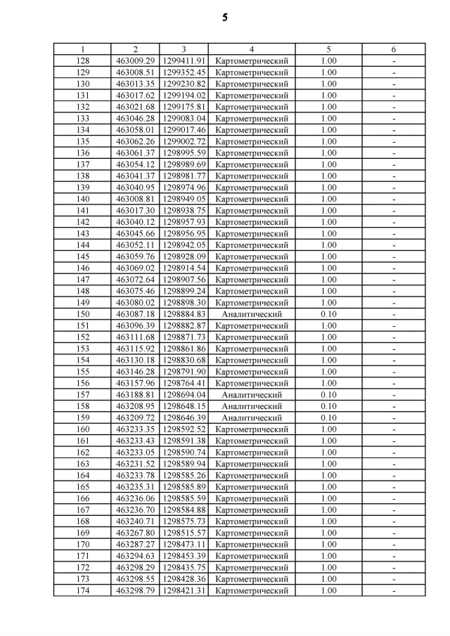
Страница №14 из 22:
Увеличить