Официальное опубликование правовых актов
ОФИЦИАЛЬНОЕ ОПУБЛИКОВАНИЕ
Приказ Департамента архитектуры и градостроительства Воронежской области от 15.06.2022 № 45-01-04/598
"О внесении изменений в правила землепользования и застройки Краснолиманского сельского поселения Панинского муниципального района Воронежской области"
(Зарегистрирован 20.06.2022 № 628)
Номер опубликования: 3601202206210006
Дата опубликования: 21.06.2022
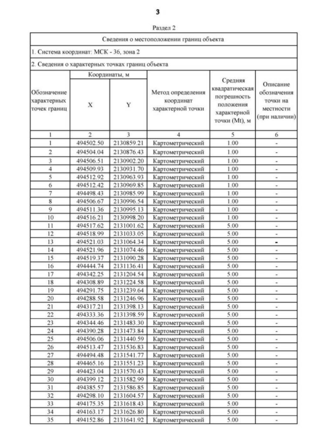
Страница №168 из 279:
Увеличить