Приказ Департамента государственного регулирования тарифов Воронежской области от 16.06.2022 № 31/1
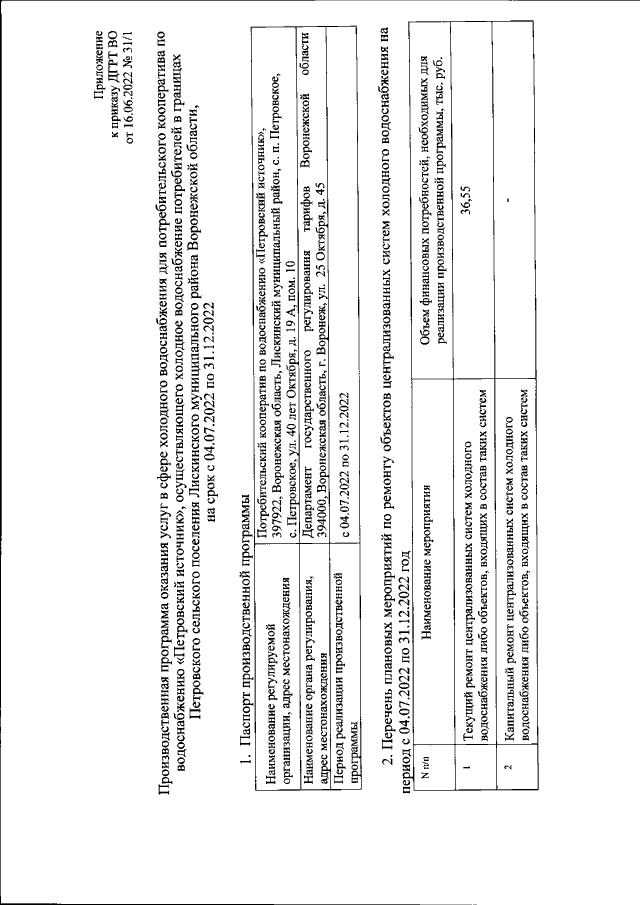
"Об установлении тарифов на питьевую воду (питьевое водоснабжение) для потребительского кооператива по водоснабжению "Петровский источник", осуществляющего холодное водоснабжение потребителей в границах Петровского сельского поселения Лискинского муниципального района Воронежской области, на 2022 год"
(Зарегистрирован 20.06.2022 № 623)
"Об установлении тарифов на питьевую воду (питьевое водоснабжение) для потребительского кооператива по водоснабжению "Петровский источник", осуществляющего холодное водоснабжение потребителей в границах Петровского сельского поселения Лискинского муниципального района Воронежской области, на 2022 год"
(Зарегистрирован 20.06.2022 № 623)
Номер опубликования: 3601202206200004
Дата опубликования:
20.06.2022
