Официальное опубликование правовых актов
ОФИЦИАЛЬНОЕ ОПУБЛИКОВАНИЕ
Приказ Департамента архитектуры и градостроительства Воронежской области от 06.06.2022 № 45-01-04/569
"О внесении изменений в правила землепользования и застройки Верхнехавского сельского поселения Верхнехавского муниципального района Воронежской области"
(Зарегистрирован 15.06.2022 № 586)
Номер опубликования: 3601202206160024
Дата опубликования: 16.06.2022
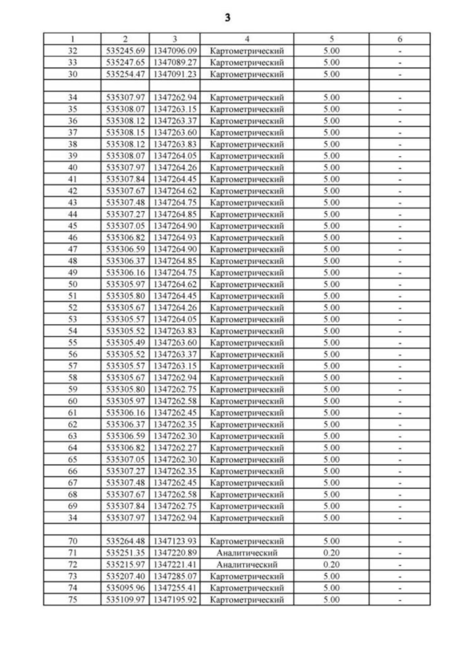
Страница №137 из 157:
Увеличить