Официальное опубликование правовых актов
ОФИЦИАЛЬНОЕ ОПУБЛИКОВАНИЕ
Приказ Департамента архитектуры и градостроительства Воронежской области от 08.06.2022 № 45-01-04/571
"О внесении изменений в правила землепользования и застройки Архангельского сельского поселения Аннинского муниципального района Воронежской области"
(Зарегистрирован 15.06.2022 № 585)
Номер опубликования: 3601202206160021
Дата опубликования: 16.06.2022
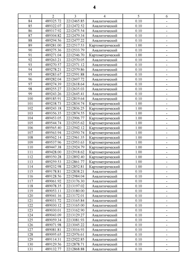
Страница №44 из 77:
Увеличить