Официальное опубликование правовых актов
ОФИЦИАЛЬНОЕ ОПУБЛИКОВАНИЕ
Приказ Департамента архитектуры и градостроительства Воронежской области от 31.05.2022 № 45-01-04/527
"О внесении изменений в правила землепользования и застройки Морозовского сельского поселения Россошанского муниципального района Воронежской области"
(Зарегистрирован 06.06.2022 № 571)
Номер опубликования: 3601202206150003
Дата опубликования: 15.06.2022
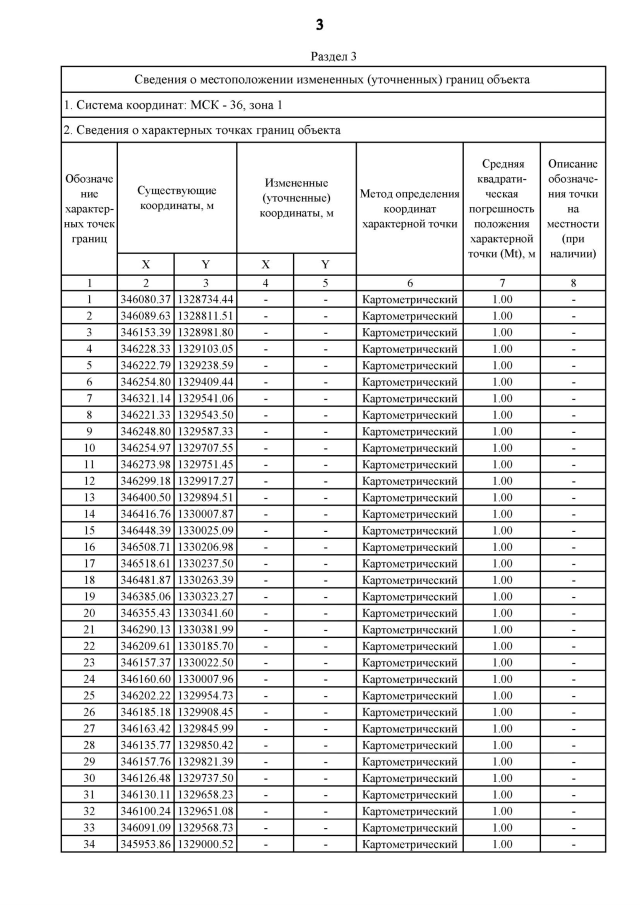
Страница №61 из 63:
Увеличить