Официальное опубликование правовых актов
ОФИЦИАЛЬНОЕ ОПУБЛИКОВАНИЕ
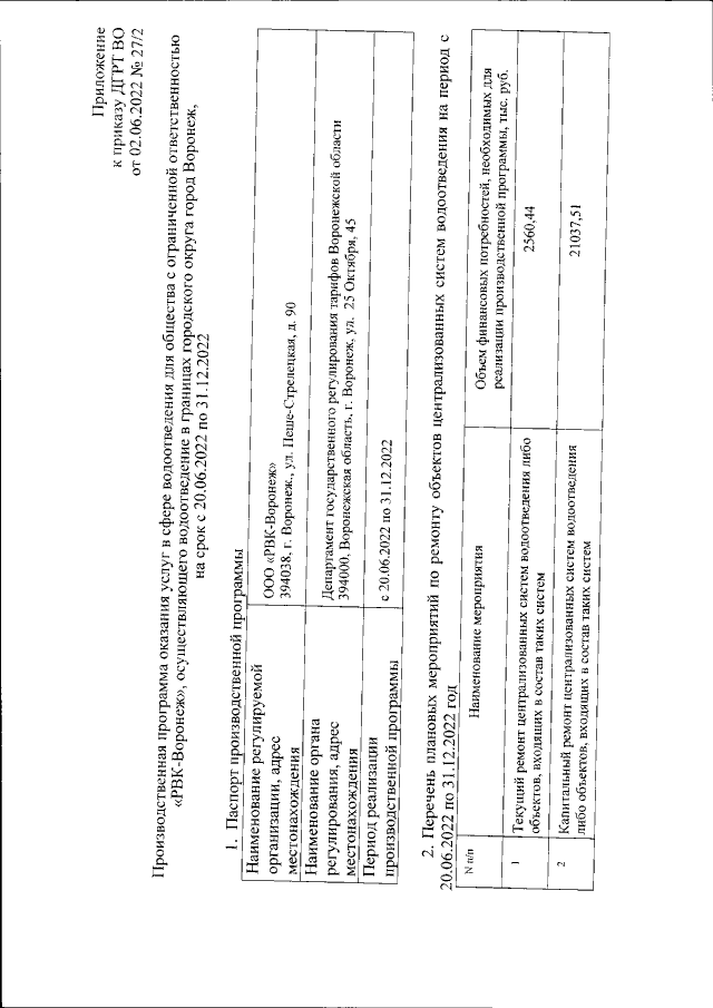
Приказ Департамента государственного регулирования тарифов Воронежской области от 02.06.2022 № 27/2
"Об установлении тарифов на водоотведение (очистку сточных вод) для общества с ограниченной ответственностью "РВК-Воронеж", осуществляющего водоотведение в границах городского округа город Воронеж, на 2022 год"
(Зарегистрирован 06.06.2022 № 569)
Номер опубликования: 3601202206100002
Дата опубликования: 10.06.2022
Страница №3 из 5:
Увеличить