Официальное опубликование правовых актов
ОФИЦИАЛЬНОЕ ОПУБЛИКОВАНИЕ
Приказ Департамента архитектуры и градостроительства Воронежской области от 30.05.2022 № 45-01-04/523
"О внесении изменений в правила землепользования и застройки Шапошниковского сельского поселения Ольховатского муниципального района Воронежской области"
(Зарегистрирован 03.06.2022 № 563)
Номер опубликования: 3601202206090004
Дата опубликования: 09.06.2022
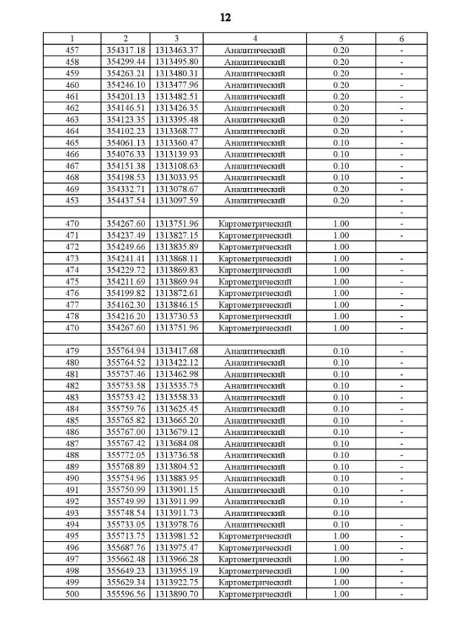
Страница №27 из 43:
Увеличить