Официальное опубликование правовых актов
ОФИЦИАЛЬНОЕ ОПУБЛИКОВАНИЕ
Приказ Департамента архитектуры и градостроительства Воронежской области от 30.05.2022 № 45-01-04/524
"О внесении изменений в правила землепользования и застройки Новосолдатского сельского поселения Репьёвского муниципального района Воронежской области"
(Зарегистрирован 03.06.2022 № 562)
Номер опубликования: 3601202206090003
Дата опубликования: 09.06.2022
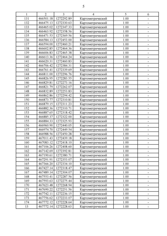
Страница №19 из 32:
Увеличить